کد خبر:۱۲۸۴۱۳۹
پیشفروش بلیت اتوبوس اربعین از ۲۵ تیر/ تهران-مهران یکمیلیون و ۴۶۲هزار تومان
مدیرعامل اتحادیه تعاونیهای مسافربری از آغاز پیشفروش بلیت اتوبوس اربعین از روز چهارشنبه (۲۵ تیرماه) خبر داد که بر اساس آن قیمت بلیت مسیر تهران - مهران (استان ایلام) یک میلیون و ۴۶۲ هزار تومان تعیین شده است.
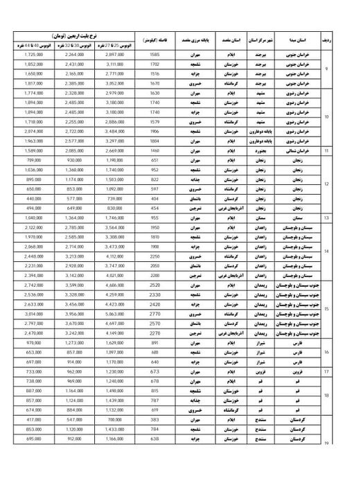
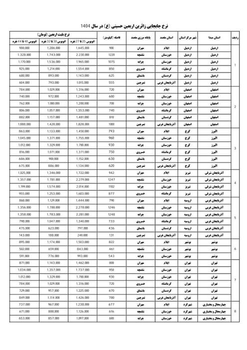
به گزارش گروه اقتصادی خبرگزاری دانشجو، احمدرضا عامری، مدیرعامل اتحادیه تعاونیهای مسافربری گفت: بر اساس نرخ نامه اعلامی، نرخ بلیت تهران - مهران یک میلیون و ۴۶۲ هزار تومان، تهران - شلمچه یک میلیون و ۷۳۷ هزار تومان، تهران- چزابه یک میلیون و ۷۰۰ هزار تومان، تهران - خسروی یک میلیون و ۳۱۶ هزار تومان، تهران- باشماق یک میلیون و ۲۲۵ هزار تومان و تهران- تمرچین یک میلیون و ۴۲۶ هزار تومان تعیین شد.
نرخ بلیت اتوبوس از سایر نقاط کشور به مرزهای هفتگانه خروجی به سمت عراق بر اساس جداول زیر است.


لینک کپی شد
گزارش خطا
۰